您好,欢迎访问陕西省中医药研究院陕西省中医医院官方网站!
说到膳食纤维,很多人就会想到通便、减肥、饱腹感等功效,那膳食纤维到底是什么?吃多少才合适?
什么是膳食纤维?
膳食纤维作为第七类营养素,在2010年被WHO定义为:膳食纤维是指10个和10个以上的聚合度的糖类聚合物,且该物质不被小肠内的酶水解,并对人体具有健康效益。根据这个定义我们了解到,首先膳食纤维不能被肠道吸收,是没有热量的糖类,其次对健康有益。我们通过下面这个图表来了解膳食纤维的分类。

膳食纤维的来源
可溶性膳食纤维:存在于自然界的非纤维性物质中,在大肠中发酵。大麦、豆类、胡萝卜、橘柑、燕麦、苹果等食物都含有丰富的可溶性膳食纤维。
不可溶性膳食纤维:纤维素和半纤维素在麸皮中含量较多;木质素主要存在于蔬菜的木质化部分和种子中,如草莓子、老化的胡萝卜和花茎甘蓝之中。
主要存在于全谷类、杂豆类、薯类、蔬菜类、水果类、坚果和种子等食物中。
膳食纤维的益处
01
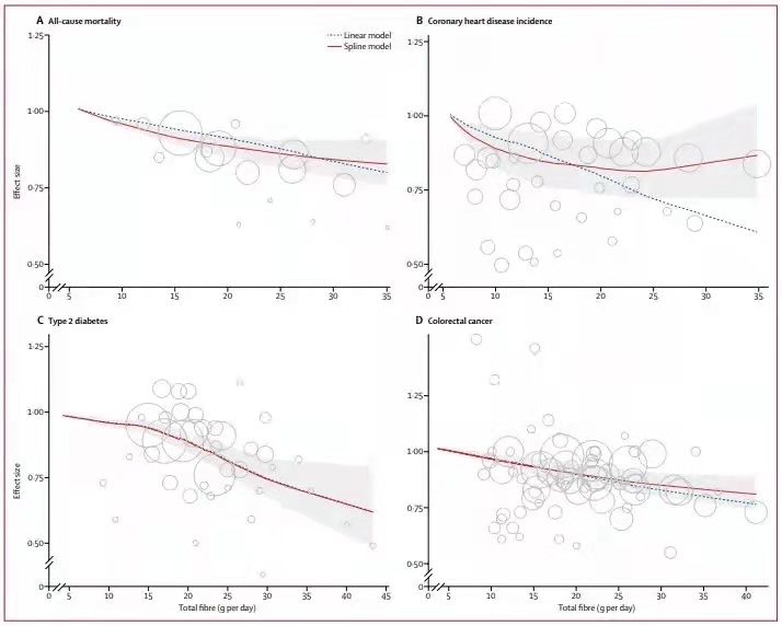
降低全因死亡率: 每天食物中的膳食纤维每增加8g,总死亡风险降低7%,冠心病发病风险降低19%,2型糖尿病发病风险降低15%,结直肠癌发病风险降低8%。每天摄入25-29克膳食纤维能获得较好的健康保护作用,摄入量越高,保护效果越好。
食物中的膳食纤维越多,全因死亡率越低(A),冠心病(B)、2型糖尿病(C)和结直肠癌(D)的发病率越低。(图片来源:The Lancet)

02
防治便秘,预防结直肠癌:膳食纤维可以软化大便,增加粪便的重量和大小,使更容易排出,减少便秘的机会。还可以降低患痔疮和结肠小袋(憩室病)、结肠、直肠癌的风险。
03
降低胆固醇,预防心血管疾病:在豆类、燕麦、亚麻籽和燕麦麸中发现的可溶性纤维可以通过降低低密度脂蛋白来帮助降低血液中总胆固醇水平。不可溶性膳食纤维可通过与胆汁酸物理结合,阻止将胆固醇回收至机体,同时增加胆汁酸的排泄,降低血液总胆固醇和低密度脂蛋白胆固醇的水平,在肠道菌群的作用下,可以保护心血管系统,预防心血管疾病。
04
降低血糖水平,防治糖尿病:可溶性纤维,可以减少小肠对糖的吸收,改善血糖水平,使血糖不会快速升高。
05
增加饱腹感,实现健康体重:高纤维食物往往需要更长的进餐时间,比低纤维食物更容易有饱腹感,而且“能量密度”较低,这意味着相同体积的食物含有更少的热量。
吃多少合适?
有数据显示,我国成年男性每天的膳食纤维摄取量仅为10.9g(成年女性未显示),欧洲平均摄入量在20g左右。世界卫生组织建议每天至少要摄入25g的膳食纤维。中国营养学会建议每天的纤维摄入量在25~35g之间。
怎样才能吃够?
常见食物的膳食纤维含量
坚果类:核桃100g约含膳食纤维20g,葵花籽100g约含膳食纤维13g)
菌菇类:金针菇、香菇、蘑菇、鸡腿菇;
粮食类:燕麦片100g 约含膳食纤维13g、玉米、荞麦、小米100g 约含膳食纤维4.5g、小麦面粉、馒头(100g 约含膳食纤维4g);
蔬菜类:海苔、雪菜、豆腐干、腐竹、西芹100g 约含膳食纤维5g、四季豆100g 约含膳食纤维5g、空心菜、甘蓝、西蓝花100g 约含膳食纤维4g


推荐高膳食纤维食疗方
糙米燕麦浆
-材 料-
糙米20克,燕麦30克,赤小豆20克,水800ml
-做 法-
1. 糙米、赤小豆洗净,泡水约2小时备用;
2. 糙米、赤小豆沥干放入自加热破壁机中中,并加入燕麦片及800ml的水,搅打成浆,放凉即可。
食疗功效:含膳食纤维约8克,具有润肠通便,利水祛湿之功效。糙米、燕麦、赤小豆为全谷物,有丰富的膳食纤维、B族维生素,具吸水、吸脂作用,且有较强的的饱足感,能整肠利便。
需要警惕的是:
1. 虽然膳食纤维好处多多,但不是人人都适合,例如:消化道狭窄并有梗阻危险的患者、各种急、慢性肠炎、痢疾、伤寒,肠道肿瘤,肠道手术前后,痔瘘患者等;
2. 对于经口摄食无法满足需要的朋友们,可以补充相应的膳食纤维制剂。一般膳食纤维补充剂每天不超过15克,至多用到24克左右。如果膳食纤维吃得太多,容易有胀气甚至梗阻等情况。

备案号:陕ICP备17003884号-1
电话:029-87213310 【全年咨询时间】08:00-12:00;14:00-17:30
Copyright © 版权所有:All Rights Reserved 陕西省中医医院
陕西省中医医院
陕西省中医药研究院