您好,欢迎访问陕西省中医药研究院陕西省中医医院官方网站!
高血压,这个“沉默的杀手”,它通常没有明显症状,却可能无声地损害您的心脏、大脑、肾脏和血管,是心肌梗死、脑卒中等严重疾病的主要推手。但请别担心,高血压完全可防可控。今天,陕西省中医医院心病科副主任医师周岩芬带您看清高血压管理的全貌,让我们一起关注血压,为健康心脏,筑牢第一道防线。
过去30年里,高血压已成为全球最主要的健康负担之一。我国目前有约2.5亿高血压患者。及早发现、及早干预,不仅能改善健康状况,还能节省医疗支出,减轻社会负担。除了在医院测量,日常在家监测血压也是诊断高血压的重要手段。
如何正确测量血压?
测量血压时,应选择安静、舒适的环境,坐在椅子上,手臂平放并得到支撑,使用大小合适的袖带。测量过程中保持放松、不说话。正确姿势见下图:

什么情况下需要开始用药治疗?



根据2020年国际高血压学会指南和2018年欧洲指南,以下情况建议启动药物治疗:
诊室血压 ≥ 160/100 mmHg;
诊室血压在140–159/90–99 mmHg之间,且伴有心血管风险因素、慢性肾病、糖尿病或器官损害;
经过3–6个月生活方式干预后,血压仍持续在130–159/90–99 mmHg之间,即使没有上述并发症。
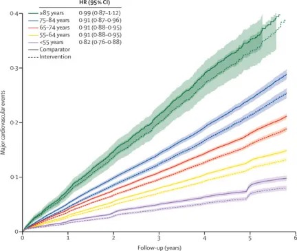
一项涵盖超过35万人的研究证实,无论年龄大小,降压治疗都能显著降低心血管事件风险。

按基线治疗分配和年龄类别分层收缩压每降低5mmHg主要心血管事件发生率
血压应该降到多少?
2021年欧洲心血管预防指南提出了明确的降压目标:

我国指南建议:80岁以下高血压患者应尽早将血压控制在 <130/80 mmHg 以下。
总之,高血压是可防可控的慢性病。早发现、早诊断、早控制,是实现健康管理、预防并发症的关键。
备案号:陕ICP备17003884号-1
电话:029-87213310 【全年咨询时间】08:00-12:00;14:00-17:30
Copyright © 版权所有:All Rights Reserved 陕西省中医医院
陕西省中医医院
陕西省中医药研究院